专利号:CN201410159716.6
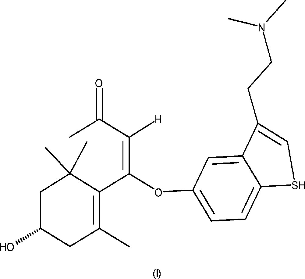
摘要:圆锥山蚂蝗枝叶中分离的化合物及其制备方法和用途,该化合物的化学名称为[(S,E)-4-(3-(2-(dimethylamino)ethyl)-1H-indol-5-yloxy)-4-(4-hydroxy-2,6,6-trimethylcyclohex-1-enyl)but-3-en-2-one],俗名为Desmodeleganine,该化合物是从圆锥山蚂蝗(Desmodiumelegans)枝叶中经过大孔树脂、MCI、硅胶以及LH-20柱层析的方法获得,单胺氧化酶(MAO)抑制活性实验证明该化合物具有显著抗单胺氧化酶活性,动物体内试验表明该化合物具有抗抑郁、抗帕金森作用。
