专利技术

您当前的位置: 网站首页 > 科技成果 > 专利技术 > 正文

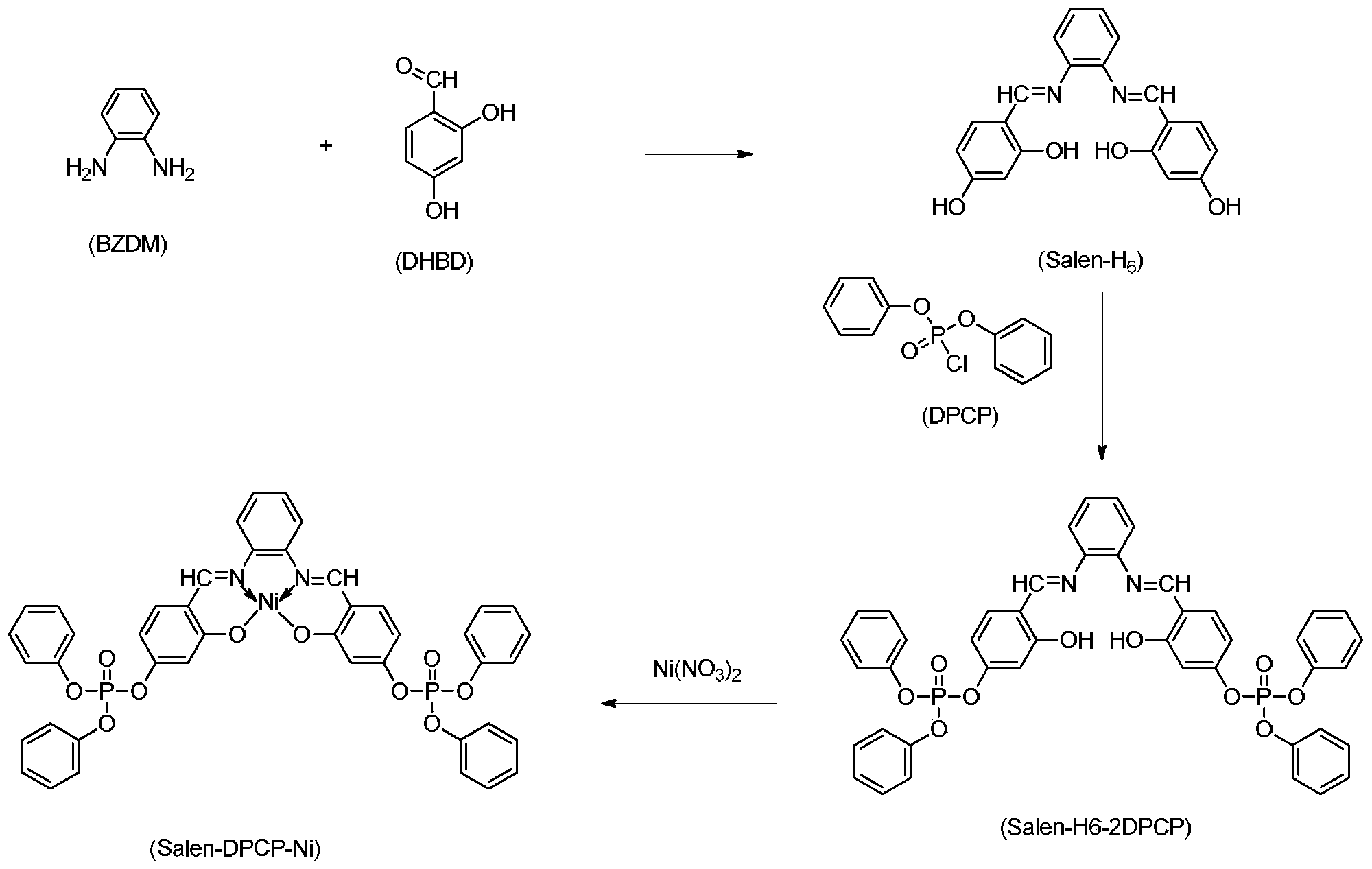
具有希夫碱结构的金属离子阻燃络合物及制备方法
2024-12-13 点击: 作者: 来源:

专利号:CN201910861082.1

摘要:本发明公开了具有希夫碱结构的金属离子阻燃络合物及制备方法,主要涉及反应型阻燃剂技术领域。结构式是其中,R是:本发明的有益效果在于:通过将Salen‑H6‑2DPCP与金属离子络合生成一系列阻燃络合物Salen‑DPCP‑M,其中的含磷有机片段主要在气相捕获·OH自由基发挥气相阻燃机理、希夫碱与金属在燃烧过程分别发挥抗熔滴与催化成炭的凝聚相阻燃作用,从而对高分子材料实施全方位阻燃策略。