专利技术

您当前的位置: 网站首页 > 科技成果 > 专利技术 > 正文

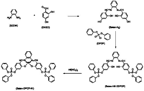
一种N,N′-双(2-羟基-(磷酸二苯酯基)亚水样基)-1,2-苯二胺合镍阻燃剂及制备方法
2024-12-13 点击: 作者: 来源:

专利号:CN201910792164.5

摘要:本发明公开了一种N,N′‑双(2‑羟基‑(磷酸二苯酯基)亚水样基)‑1,2‑苯二胺合镍阻燃剂及制备方法,主要涉及反应型阻燃剂领域。结构式是其中,R是本发明的有益效果在于:通过将Salen‑H6‑2DPCP与金属镍络合生成一系列阻燃络合物Salen‑DPCP‑Ni,其中的含磷有机片段在高分子材料燃烧时发挥气相阻燃机理,希夫碱与金属镍在燃烧过程分别发挥交联与催化成炭的凝聚相阻燃作用。